શ્રેણી

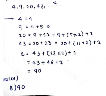
51) આપેલ શ્રેણી પૂર્ણ કરો.

4, 9, 20, 43……….?

Answer Is: (B) 90

Explanation:

52) 7,10,8,11,9,12,.......

Answer Is: (C) 10

Explanation:

No answer description available for this question. Let us discuss.

53) 640,384,256,192,160, …….

Answer Is: (D) આમાંથી ઍક પણ નહી

Explanation:

No answer description available for this question. Let us discuss.

54) આપેલ શ્રેણી પૂર્ણ કરો.

2, 7, 27, 107……..?

Answer Is: (C) 427

Explanation:

55) 14, 20, 31, 47,68, …….

Answer Is: (B) 94

Explanation:

No answer description available for this question. Let us discuss.

56) 5, 8, 14, 26, 52, 98

Answer Is: (D) કાઇ નહીં

Explanation:

No answer description available for this question. Let us discuss.

57) આપેલ શ્રેણી પૂર્ણ કરો.

13, 18, 24, 31, 39……?

Answer Is: (A) 48

Explanation:

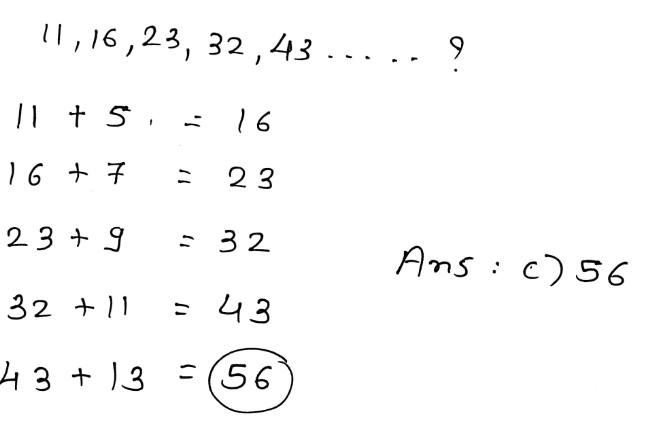
58) આપેલ શ્રેણી પૂર્ણ કરો.

11, 16, 23, 32, 43………….?

Answer Is: (C) 56

Explanation:

59) આપેલ શ્રેણી પૂર્ણ કરો.

3, 8, 19, 42……?

Answer Is: (B) 89

Explanation:

60) 96,54,20,........

Answer Is: (D) 0

Explanation:

No answer description available for this question. Let us discuss.

61) આપેલ શ્રેણી પૂર્ણ કરો.

325, 259, 204, 160, 127, 105………..?

Answer Is: (A) 94

Explanation:

62) આપેલ શ્રેણી પૂર્ણ કરો.

6, 8, 10, 14, 18,…….., 34, 50, 66

Answer Is: (A) 26

Explanation:

63) આપેલ શ્રેણીમાં ખોટું પદ શોધો

1, 4, 25, 256, 3125

Answer Is: (C) 3125

Explanation:

64) આપેલ શ્રેણી પૂર્ણ કરો.

8, 28, 116, 584…….?

Answer Is: (D) 3508

Explanation:

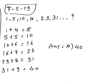
65) આપેલ શ્રેણી પૂર્ણ કરો.

1, 5, 10, 16, 23, 31…..?

Answer Is: (A) 40

Explanation:

66) આપેલ શ્રેણીમાં ખોટું પદ શોધો

7, 11, 19, 35, 68, 131

Answer Is: (B) 68

Explanation:

No answer description available for this question. Let us discuss.

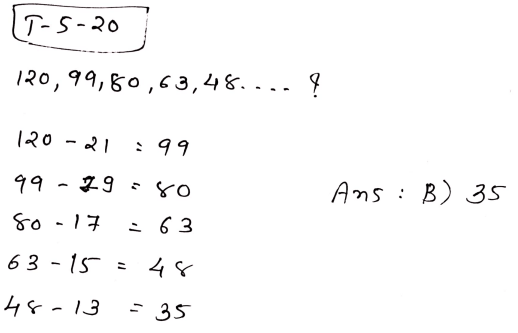
67) આપેલ શ્રેણી પૂર્ણ કરો.

120, 99, 80, 63, 48……..?

Answer Is: (B) 35

Explanation:

68) 17,23,35,59,107, …….

Answer Is: (C) 203

Explanation:

No answer description available for this question. Let us discuss.

69) 8, 12, 28,64,128, …….

Answer Is: (B) 228

Explanation:

No answer description available for this question. Let us discuss.

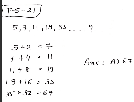
70) આપેલ શ્રેણી પૂર્ણ કરો.

5, 7, 11, 19, 35…….?

Answer Is: (A) 67

Explanation:

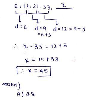
71) આપેલ શ્રેણી પૂર્ણ કરો.

6, 12, 21, 33…..?

Answer Is: (A) 48

Explanation:

72) 6, 12, 48,16, 140, 20

Answer Is: (C) 140

Explanation:

No answer description available for this question. Let us discuss.

73) 52,59,73,83,94,107 ........

Answer Is: (C) 115

Explanation:

No answer description available for this question. Let us discuss.

74) આપેલ શ્રેણી પૂર્ણ કરો.

2, 5, 11, 23, 47……..?

Answer Is: (B) 95

Explanation:

75) 2222, 1374, 950,738,632, …….

Answer Is: (D) 579

Explanation:

No answer description available for this question. Let us discuss.

76) 7, 28, 63, 124, 215, 342,

Answer Is: (C) 28

Explanation:

No answer description available for this question. Let us discuss.

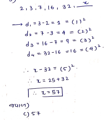
77) આપેલ શ્રેણી પૂર્ણ કરો.

2, 3, 7, 16, 32…….?

Answer Is: (C) 57

Explanation:

78) 53, 318, 1590, 6360,19080, …….

Answer Is: (C) 38160

Explanation:

No answer description available for this question. Let us discuss.

79) 90, 72, 56, 40, 30, 20, 12

Answer Is: (C) 40

Explanation:

No answer description available for this question. Let us discuss.

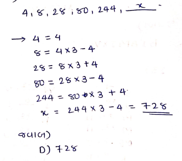
80) આપેલ શ્રેણી પૂર્ણ કરો.

4, 8, 28, 80, 244……?

Answer Is: (D) 728

Explanation:

81) 1, 2, 5, 10, 17, 26 , …….

Answer Is: (D) 37

Explanation:

No answer description available for this question. Let us discuss.

82) આપેલ શ્રેણી પૂર્ણ કરો.

5, 6, 9, 15, 25………?

Answer Is: (C) 40

Explanation:

83) 1, 4, 27, 16, 125, 216

Answer Is: (A) 216

Explanation:

No answer description available for this question. Let us discuss.

84) 1, 1, 4, 8, 7, 27,11, 64, 13, 125

Answer Is: (B) 11

Explanation:

No answer description available for this question. Let us discuss.

85) 5,6,10,19, …….

Answer Is: (B) 35

Explanation:

No answer description available for this question. Let us discuss.

86) 18, 10, 6, 4, …….

Answer Is: (C) 3

Explanation:

No answer description available for this question. Let us discuss.

87) આપેલ શ્રેણી પૂર્ણ કરો.

90, 70, 50, 30, 10………?

Answer Is: (A) -10

Explanation:

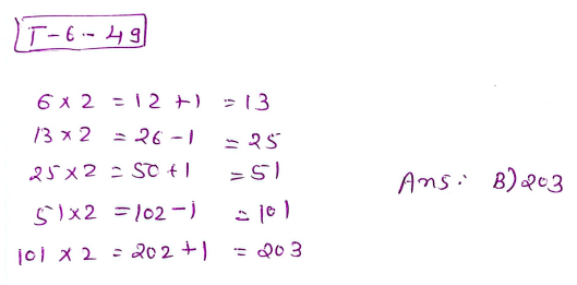
88) આપેલ શ્રેણી પૂર્ણ કરો.

6, 13, 25, 51, 101…..?

Answer Is: (B) 203

Explanation:

89) 4, 9, 16, 25, 35, 49, 64

Answer Is: (C) 35

Explanation:

No answer description available for this question. Let us discuss.

90) 89, 78, 86, 80, 85, 82, 83

Answer Is: (A) 86

Explanation:

No answer description available for this question. Let us discuss.

91) આપેલ શ્રેણી પૂર્ણ કરો.

34, 18, 10, 6, 4……?

Answer Is: (B) 2

Explanation:

92) આપેલ શ્રેણી પૂર્ણ કરો.

5, 10, 15, 20...............?

Answer Is: (D) 25

Explanation:

93) 4, 2, 8, 6, 15, 18, 32

Answer Is: (A) 15

Explanation:

No answer description available for this question. Let us discuss.

94) 2, 4, 13, 54, 273, 1662, 11499

Answer Is: (D) 1662

Explanation:

No answer description available for this question. Let us discuss.

95) 14,26,48,98,194,386.

ઉપર આપેલ સંખ્યા કર્યું એક પદ ખોટુ છે?

Answer Is: (B) 48

Explanation:

No answer description available for this question. Let us discuss.

96) 55000, 11000 ,2200, 440, 88, …….

Answer Is: (C) 17.6

Explanation:

No answer description available for this question. Let us discuss.

97) આપેલ શ્રેણી પૂર્ણ કરો.

0, 6, 24, 60, 120, 210……….?

Answer Is: (C) 336

Explanation:

98) 2, 10, 30, 69, 130

Answer Is: (A) 69

Explanation:

No answer description available for this question. Let us discuss.

99) 1, 2, 4, 8, 16, 32, 64, 96

Answer Is: (C) 96

Explanation:

No answer description available for this question. Let us discuss.

100) આપેલ શ્રેણી પૂર્ણ કરો.

2, 5, 11, …….. 47

Answer Is: (B) 23

Explanation:

Comments (0)

Leave your comment

Please enter comment.

Please enter name.
Please enter valid email address.
Please enter valid website URL.

Up