દિશા અને અંતર

63) ગોવિંદ પોતાના ઘરેથી પૂર્વ દિશામાં ૨૫ કિમી અંબાજી મંદિરમાં જાય છે. ત્યાંથી પોતાની ડાબી બાજુ ૧૫ કિમીની મુસાફરી કરીને પીરબાબાની દરગાહ જોવા જાય છે. ત્યારપછી પોતાની વિરુદ્ધની દિશામાં ૪૦ કિમીની મુસાફરી કરીને જૈન તિર્થંકર મહાવીર સ્વામીના દર્શન કરવા જાય છે. ત્યારપછી જમણી બાજુ વળીને ૧૦ કિમી મુસાફરી કર્યા પછી મિલન હોટલમાં નાસ્તો કરવા રોકાય છે. ત્યારબાદ તે જ દિશામાં જો તે ૧૫ કિમી આગળ વધો તો હવે ગોવિંદ પોતાના ઘરેથી કઈ દિશામાં કેટલા કિમી દૂર હશે?

Answer Is: (B) દક્ષિણમાં ૨૫ કિમી

Explanation:

No answer description available for this question. Let us discuss.

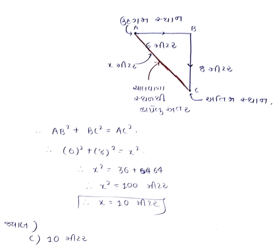
83) ધર્મેશ કૉલેજથી ઉત્તર દિશામાં ૨૫ મીટર ચાલ્યા પછી ડાબી બાજુ ૧૫ મીટર ચાલીને ફરીથી ડાબી બાજુ વળીને ૨૫ મીટર ચાલે છે. તો હવે ધર્મેશ કઈ દિશામાં કૉલેજથી કેટલે દૂર હશે ?

Answer Is: (C) પશ્ચિમમાં ૧૫ મીટર

Explanation:

No answer description available for this question. Let us discuss.

84) A, B ની પશ્ચિમ દિશામાં છે. C, A અને B ની વચ્ચે ઉત્તર બાજુ સ્થિત છે. D, Bની બરાબર દક્ષિણ બાજુએ છે, તથા B ની લાઈનમાં જ છે. તો C ની કઈ દિશામાં D છે ?

Answer Is: (A) દક્ષિણ-પર્વ

Explanation:

No answer description available for this question. Let us discuss.

87) સૂર્યાસ્ત સમયે તમારો પડછાયો કઈ દિશામાં હશે ?

Answer Is: (D) પૂર્વ

Explanation:

No answer description available for this question. Let us discuss.

91) જો તમે પૂર્વ દિશામાં જઈ રહ્યા હોવ અને ૧૮૦°ફરો તો હવે તમે કઈ દિશામાં જઈ રહ્યા હશો?

Answer Is: (C) પશ્ચિમ

Explanation:

No answer description available for this question. Let us discuss.

Comments (0)

Leave your comment

Please enter comment.

Please enter name.
Please enter valid email address.
Please enter valid website URL.

Up